STL
by mervyn
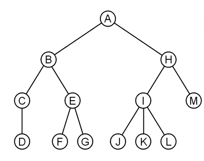
Coding Session: BFS and DFS
- Graph representation
- std::vector to represent edge information based on adjacency list.
- Graph traversal
- std::stack and std::queue for DFS and BFS, respectively.
Example

#include <cstdio>
#include <vector>
#include <queue>
using namespace std;
class Graph
{
public:
int nV, nE;
vector<int> *edges;
void Init(const char *_filename)
{
FILE *input = fopen(_filename, "r");
fscanf(input, "%d", &nV);
fscanf(input, "%d", &nE);
edges= new vector<int>[nV];
for(int i=0;i<nE;i++)
{
char a, b;
fscanf(input, " %c %c", &a, &b);
int x, y;
x = a-'A';
y = b-'A';
edges[x].push_back(y);
}
fclose(input);
}
};
void BFS(Graph &_g, int_stIdx=0)
{
bool *visit = new bool [_g.nV];
for(int i=0;i<_g.nV; i++)
{
visit[i] = false;
}
queue<int> q;
q.push(_stIdx);
visit[_stIdx]= true;
while(!q.empty())
{
int x = q.front();
q.pop();
printf("%c ", x+'A');
for(int i=0;i<_g.edges[x].size(); i++)
{
if(!visit[_g.edges[x][i]])
{
q.push(_g.edges[x][i]);
visit[_g.edges[x][i]]=true;
}
}
}
delete [] visit;
}
void DFS(Graph &_g, int _stIndex = 0)
{
bool *visit = new bool [_g.nV];
/*for(int i=0;i<_g.nV; i++)
{
visit[i] = false;*/
//don't need this part as we already made new bool visited
}
stack<int> s;
s.push(_stIdx);
visit[_stIdx]= true;
while(!s.empty())
{
int x = s.top();
s.pop();
printf("%c ", x+'A');
//To order alphabetically, for(int i=_g.edges[x].size() - 1; i>=0; i--)
for(int i=0;i<_g.edges[x].size(); i++)
{
if(!visit[_g.edges[x][i]])
{
s.push(_g.edges[x][i]);
visit[_g.edges[x][i]]=true;
}
}
}
delete [] visit;
}
int main(int argc, char **argv)
{
Graph g;
g.Init( argv[1] );
printf("\n");
printf("BFS: ");
BFS( g );
printf("\n");
printf("\n");
printf("DFS: ");
DFS( g );
printf("\n");
return 1;
}
source “K-MOOC 허재필 교수님의 <인공지능을 위한 알고리즘과 자료구조: 이론, 코딩, 그리고 컴퓨팅 사고> 강좌의 4-2 그래프 탐색의 STL 활용 구현 중(http://www.kmooc.kr/courses/course-v1:SKKUk+SKKU_46+2020_T1)”
tags:
Comments
Post comment